

大仏様の身長は何メートルですか?たとえば、一般的に座高の高さは、身長の53.5%と言われています。

該当なし
大仏様のクルクルとした頭髪は螺髪(らほつ)と呼ばれ、開眼供養(かいげんくよう)された時(七五二年)は、966個あると言われていました。そこで1つの螺髪を直径dの円とします。966個の螺髪を1つの大きな円の中に収めた場合、その大きな円が最小となる時の面積を、dを用いて答えてください。
※ 円周率は「π」とします。

文ちゃんさんの解答

応募者の多くは小円の中心の1つを大円の中心と重ね合わせ、そこから正六角形状に小円を並べる方法で、大円の面積の最小値を求めていました。それに対し、文ちゃんさんは上記のように考えました。
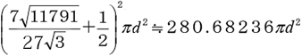
文ちゃんさんはこの他にも、小円の中心の一部を格子点から移動して大円の面積をさらに小さくする解法も記載されていましたが、こちらはさらなる検証が必要となります。また、上記の方法について前回掲載した分からさらに大円の半径が小さくなるものについて検証した結果、正しいことが確認されましたので、新たに

を最小の面積とします。
講評
みなさん、問題一の解答をお送りくださり、誠にありがとうございました。
今回、送ってくださった解答を拝見したところ、すべて28mとなっていました。この28mという解答は、考え方の例として座高の割合を示したことにより、大仏様の座高14.98mを0.535で割って求められています。しかし、今回の問題の趣旨は、さらに異なる考え方で身長を求めることができるかというものでした。よって、一般的な正解を28mとしますが、とくに優秀な正解者については「該当なし」といたします。